银行贷款有多种还款方式,其中 “等额本息” 是常见方式之一,但是其利息计算方法因为涉及多次幂运算,容易把普通人绕晕,今天就把公式整理出来,供大家不时之需。
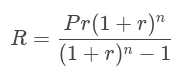
假设贷款本金为P,月息为r(也就是年息除以12),期数为n(例如3年就是36期),每月还款额是R,那么公式如下:
1. 月还款额:



1. 月还款额:


如果你想了解原理,只要能理解等比数列求和公式(初中数学)就没有问题,找时间再罗嗦。
版权声明:本文内容由互联网用户自发贡献,该文观点仅代表作者本人。本站仅提供信息存储空间服务,不拥有所有权,不承担相关法律责任。如发现本站有涉嫌抄袭侵权/违法违规的内容, 请发送邮件至 1543690857@qq.com 举报,一经查实,本站将立刻删除。
